Section 6: Linear Regression

Sam Frederick

Columbia University

3/28/23

Last Section

G Question Question Theory Theory Question->Theory Hypotheses Hypotheses Theory->Hypotheses dat Data Collection Hypotheses->dat ht Hypothesis Testing dat->ht msr Measurement Error dat->msr sampling Sampling Error dat->sampling nrb Nonresponse Bias dat->nrb ovb Confounding Variables ht->ovb

Confounding Variables

Randomized Experiments

Observational Data

  • Can’t always randomly assign treatments of interest
    • Governmental policies
    • Individual characterstics
    • Harmful occurrences/events (e.g., wars)
  • How can we study the effects of these “treatments” without randomization?
    • Regression

Regression

  • Try to hold other variables constant
    • Compare apples to apples (like units in “treatment” and “control” groups)
  • Requirement for estimation of causal effects in observational studies:
    • No confounding variables
      • “control” for all confounders/include them in the regression model

Confounding Variables

  • Usually cannot be sure that there are no confounders
    • That’s why experiments are ideal
  • Estimates can be badly biased if there are unobserved confounding variables
    • Known as omitted variable bias

Regression

  • \(y = \alpha + \beta X + \varepsilon\)
    • \(y\) is the dependent/outcome variable
    • \(X\) is the independent/predictor variable
    • \(\alpha\) is the y-intercept (the average value of y when other variables are 0)
    • \(\beta\) is the slope or the coefficient estimate for X
    • \(\varepsilon\) is variation in outcome “unexplained” by the model

Regression

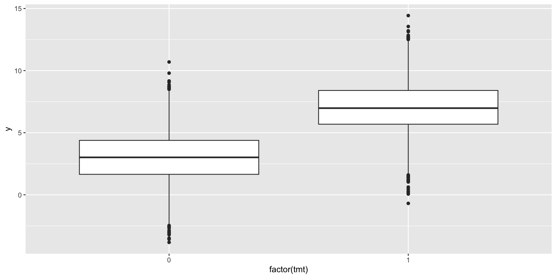
  • Start with experiment.csv
data1 <- read_csv("/Users/samfrederick/scope-and-methods-spring2023/section-6/experiment.csv")
  • Simple experimental example
    • True equation is \(y = 3 + 4*treatment + \varepsilon\)
    • Remember \(y = \alpha + \beta X\)

Regression

data1 %>% 
  ggplot(aes(factor(tmt), y)) +
  geom_boxplot()

Regression

  • In the past, we used a t-test/calculated the difference-in-means estimate by hand
with(data1, mean(y[tmt==1])- mean(y[tmt==0]))
[1] 3.991027
with(data1, t.test(y~tmt))

    Welch Two Sample t-test

data:  y by tmt
t = -99.58, df = 9991.4, p-value < 2.2e-16
alternative hypothesis: true difference in means between group 0 and group 1 is not equal to 0
95 percent confidence interval:
 -4.069589 -3.912465
sample estimates:
mean in group 0 mean in group 1 
       3.008432        6.999459 

Regression

  • We can accomplish this as well using regression

  • In R, run regressions using lm() command

    • lm(y~x, data = dataname)

Regression

mod <- lm(y~tmt, data = data1)

Regression

summary(mod)

Call:
lm(formula = y ~ tmt, data = data1)

Residuals:
    Min      1Q  Median      3Q     Max 
-7.6901 -1.3320 -0.0103  1.3873  7.6871 

Coefficients:
            Estimate Std. Error t value Pr(>|t|)    
(Intercept)  3.00843    0.02818  106.77   <2e-16 ***
tmt          3.99103    0.04008   99.58   <2e-16 ***
---
Signif. codes:  0 '***' 0.001 '**' 0.01 '*' 0.05 '.' 0.1 ' ' 1

Residual standard error: 2.004 on 9998 degrees of freedom
Multiple R-squared:  0.498, Adjusted R-squared:  0.4979 
F-statistic:  9917 on 1 and 9998 DF,  p-value: < 2.2e-16

Regression

  • What is regression doing?
    • It is finding the line that minimizes the sum of squared residuals
  • Sum of Squared Residuals:
    • Residual: difference between prediction from regression and true outcome variable value
    • \(SSR = \sum_{i=1}^n (\hat{y}_i - y_{i})^2\)

Regression

  • Take a look at regression_data.csv
data2 <- read_csv("/Users/samfrederick/scope-and-methods-spring2023/section-6/regression_data.csv")
  • True equation: \(y = 3 + 2*x + \varepsilon\)

Regression

  • Let’s make a scatterplot of the data
data2 %>% 
  ggplot(aes(x, y)) + 
  geom_point()

Regression

mod2 <- lm(y~x, data = data2)

Regression

summary(mod2)

Call:
lm(formula = y ~ x, data = data2)

Residuals:
     Min       1Q   Median       3Q      Max 
-12.3222  -2.4311  -0.1352   2.4702  10.1279 

Coefficients:
            Estimate Std. Error t value Pr(>|t|)    
(Intercept)  3.79069    0.68815   5.509  1.4e-06 ***
x            1.98246    0.07053  28.107  < 2e-16 ***
---
Signif. codes:  0 '***' 0.001 '**' 0.01 '*' 0.05 '.' 0.1 ' ' 1

Residual standard error: 4.571 on 48 degrees of freedom
Multiple R-squared:  0.9427,    Adjusted R-squared:  0.9415 
F-statistic:   790 on 1 and 48 DF,  p-value: < 2.2e-16

Regression

Regression

Omitted Variables Bias

  • Why is it so bad if we are not controlling for all confounders?
    • Prevents us from determining the causal effect of X on Y
    • Can badly bias coefficient estimates
  • Example: confounding.csv
data3 <- read_csv("/Users/samfrederick/scope-and-methods-spring2023/section-6/confound.csv")

Omitted Variables Bias

  • True forms of data:
    • \(x = 2 + 2*confound + \gamma\)
    • \(y = 4 + 5*confound + 2*x + var1 + \varepsilon\)
mod1 <- lm(y~x, data = data3)

Omitted Variables Bias

summary(mod1)

Call:
lm(formula = y ~ x, data = data3)

Residuals:
    Min      1Q  Median      3Q     Max 
-57.504 -10.331  -0.022  10.279  59.043 

Coefficients:
            Estimate Std. Error  t value Pr(>|t|)    
(Intercept) 0.096617   0.319234    0.303    0.762    
x           4.486664   0.002678 1675.107   <2e-16 ***
---
Signif. codes:  0 '***' 0.001 '**' 0.01 '*' 0.05 '.' 0.1 ' ' 1

Residual standard error: 15.38 on 9998 degrees of freedom
Multiple R-squared:  0.9964,    Adjusted R-squared:  0.9964 
F-statistic: 2.806e+06 on 1 and 9998 DF,  p-value: < 2.2e-16

Omitted Variables Bias

mod2 <- lm(y~x + confound, data = data3)

Omitted Variables Bias

summary(mod2)

Call:
lm(formula = y ~ x + confound, data = data3)

Residuals:
    Min      1Q  Median      3Q     Max 
-42.504  -7.997  -0.068   7.745  44.821 

Coefficients:
            Estimate Std. Error t value Pr(>|t|)    
(Intercept) 11.29233    0.27590   40.93   <2e-16 ***
x            2.00932    0.02908   69.09   <2e-16 ***
confound     4.97505    0.05826   85.39   <2e-16 ***
---
Signif. codes:  0 '***' 0.001 '**' 0.01 '*' 0.05 '.' 0.1 ' ' 1

Residual standard error: 11.7 on 9997 degrees of freedom
Multiple R-squared:  0.9979,    Adjusted R-squared:  0.9979 
F-statistic: 2.43e+06 on 2 and 9997 DF,  p-value: < 2.2e-16

Omitted Variables Bias

mod3 <- lm(y~x + confound + var1, data = data3)

Omitted Variables Bias

summary(mod3)

Call:
lm(formula = y ~ x + confound + var1, data = data3)

Residuals:
    Min      1Q  Median      3Q     Max 
-21.088  -3.975  -0.028   4.096  23.807 

Coefficients:
            Estimate Std. Error t value Pr(>|t|)    
(Intercept) 4.181343   0.146864   28.47   <2e-16 ***
x           1.980644   0.014830  133.55   <2e-16 ***
confound    5.036429   0.029710  169.52   <2e-16 ***
var1        1.004484   0.005955  168.68   <2e-16 ***
---
Signif. codes:  0 '***' 0.001 '**' 0.01 '*' 0.05 '.' 0.1 ' ' 1

Residual standard error: 5.965 on 9996 degrees of freedom
Multiple R-squared:  0.9995,    Adjusted R-squared:  0.9995 
F-statistic: 6.24e+06 on 3 and 9996 DF,  p-value: < 2.2e-16

Omitted Variables Bias

mod1 mod2 mod3
(Intercept) 0.097 11.292*** 4.181***
(0.319) (0.276) (0.147)
x 4.487*** 2.009*** 1.981***
(0.003) (0.029) (0.015)
confound 4.975*** 5.036***
(0.058) (0.030)
var1 1.004***
(0.006)
R2 0.996 0.998 0.999
R2 Adj. 0.996 0.998 0.999
+ p < 0.1, * p < 0.05, ** p < 0.01, *** p < 0.001

Omitted Variables Bias

Regression Output

Regression Output

\(y = \alpha + \beta*x + \gamma*confound + \epsilon\)

  • Summary statistics for residuals

Regression Output: Intercept Estimate

\(y = \alpha + \beta*x + \gamma*confound + \epsilon\)

  • Information about the intercept estimate (\(\alpha\))

Regression Output: Intercept Estimate

  • Tells us the predicted/average value of the outcome when other variables are 0

Regression Output: Coefficient Estimate

\(y = \alpha + \beta*x + \gamma*confound + \epsilon\)

  • Information about the coefficient estimate (\(\beta\))

Regression Output: Coefficient Estimate

  • Tells us that, holding the other variables in the regression constant,
    • We would expect y to be higher by about \(\beta\) when x is higher by one unit
    • An increase of 1 in x is associated with a change in the outcome of about \(\beta\)
    • The outcome variable is predicted to be higher by about \(\beta\) for each unit increase in the x variable

Regression Output: Hypothesis Testing

  • Are the coefficient estimates statistically significant?

Regression Output: Hypothesis Testing

  • Same as standard hypothesis test:
    • \(H_0: \beta =0\); \(H_A: \beta \neq 0\)
    • \(t\textit{-}statistic=\frac{estimate- 0}{SE}\)

Substantive vs. Statistical Significance

  • Statistical Signficance:
    • How likely are we to observe the results we observe if the null hypothesis is true?
  • Substantive Significance:
    • How large or meaningful is our estimate?

Substantive vs. Statistical Significance

  • Estimate can be:
    • substantively significant without being statistically significant
    • statistically significant without being substantively significant
    • both
    • neither

Tidy Regression Tables

  • Can use modelsummary package in R to make nice regression tables
library(modelsummary)
modelsummary(mod1, gof_map = c("r.squared", "adj.r.squared", "nobs"), 
             stars = T, estimate = "{estimate} [{conf.low}, {conf.high}]", 
             statistic = NULL)

Tidy Regression Tables

Model 1
(Intercept) 0.097
(0.319)
x 4.487
(0.003)
R2 0.996
R2 Adj. 0.996
Num.Obs. 10000